您现在的位置:
首页
>
政府信息公开
>
市政府组成部门
>
市住房和城乡建设局
>
通知公告
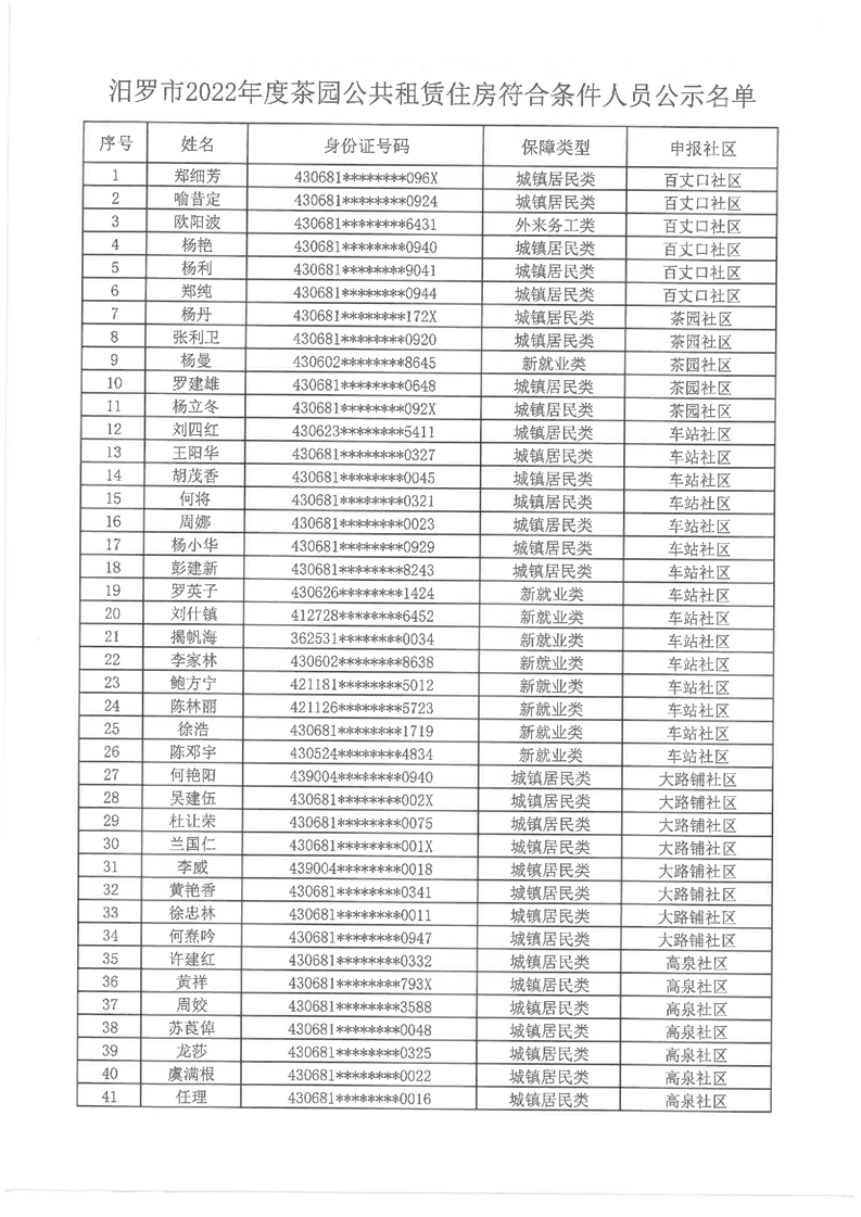
汨罗市2022年度茶园公共租赁住房符合条件人员公示
来源:汨罗市住房和城乡建设局
日期:2022-08-29 16:31
浏览量:
1
|
|
|
|
为切实解决我市住房困难群众住房需求,不断完善住房保障体系,确保固定资产提质增效,根据国家和湖南省《公共租赁住房管理办法》,结合我市实际,制定了《汨罗市茶园公共租赁住房分配方案》,现根据此方案要求,将汨罗市2022年度茶园公共租赁住房符合条件人员公示如下: