您现在的位置:
首页
>
政府信息公开
>
市政府组成部门
>
市住房和城乡建设局
>
通知公告
汨罗市2022年度茶园公共租赁住房配租对象房号名单公示
来源:湖南省住房和城乡建设厅
日期:2022-09-15 17:16
浏览量:
1
|
|
|
|
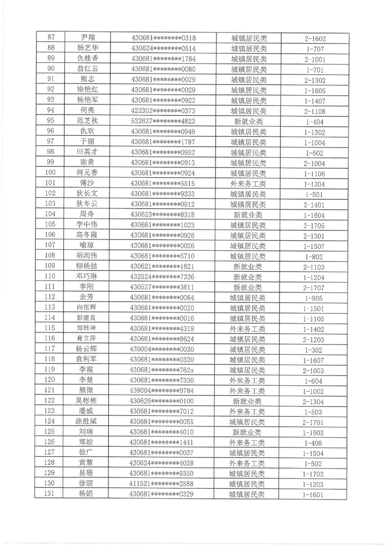
为满足群众“居者有其屋”基本住房需求,现根据国家和湖南省《公共租赁住房管理办法》,结合我市实际,制定了《汨罗市茶园公共租赁住房分配方案》,现根据此方案要求,本着“公开透明、公平公正、人文情怀”的分配原则,现经相关部门联合审核后将汨罗市2022年度茶园公共租赁住房配租对象房号名单向社会公开。公示名单如下: