您现在的位置:
首页
>
政府信息公开
>
市政府组成部门
>
市农业农村局
>
通知公告
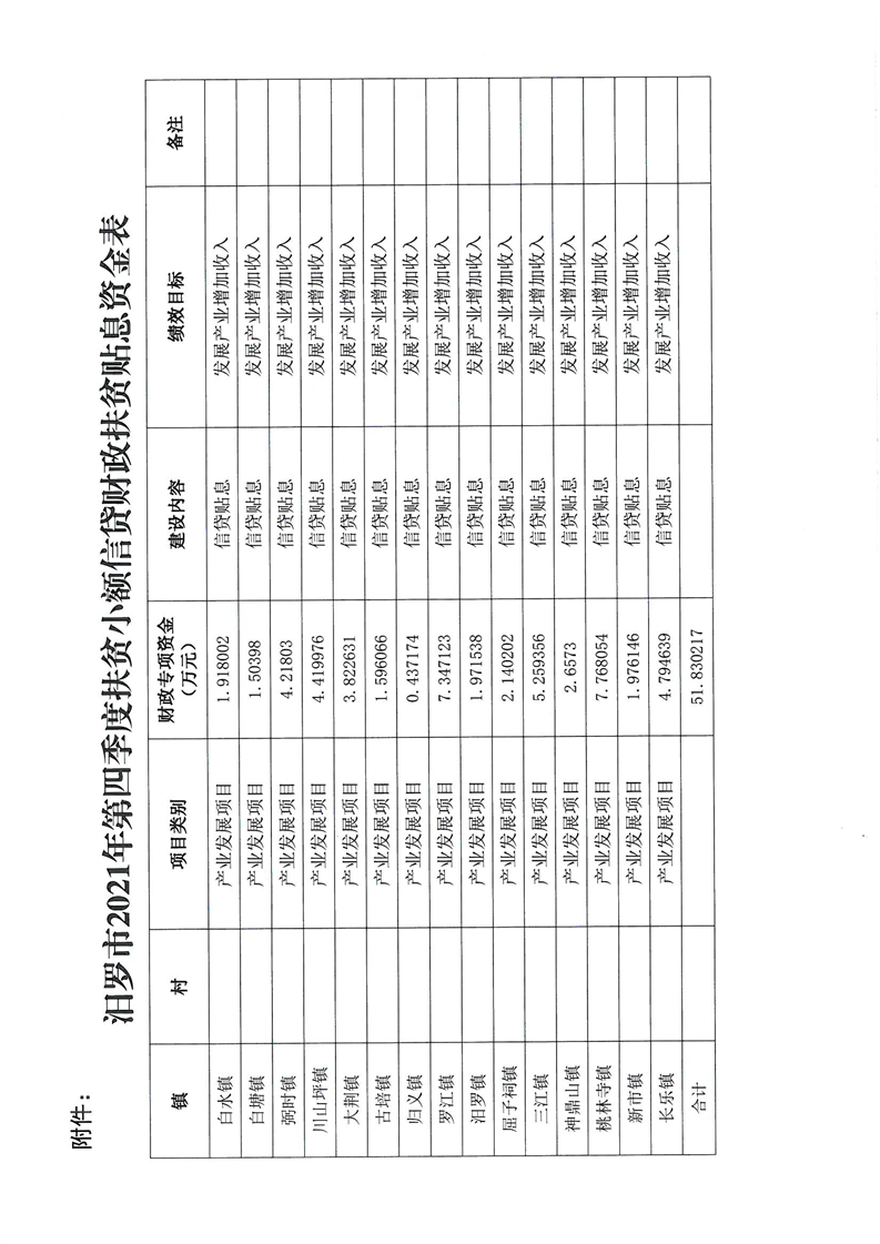
关于发放扶贫小额信贷贴息资金的通知
来源:汨罗市扶贫开发办公室
日期:2021-02-22 15:41
浏览量:
1
|
|
|
|