您现在的位置:
首页
>
政府信息公开
>
市政府组成部门
>
市农业农村局
>
通知公告
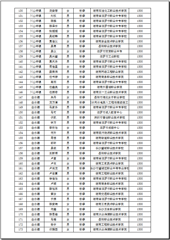
汨罗市2019年秋季雨露计划职业教育补助发放学生名单公示
来源:汨罗市扶贫开发办公室
日期:2019-12-13 21:38
浏览量:
1
|
|
|
|