您现在的位置:
首页
>
政府信息公开
>
市政府组成部门
>
市农业农村局
>
通知公告
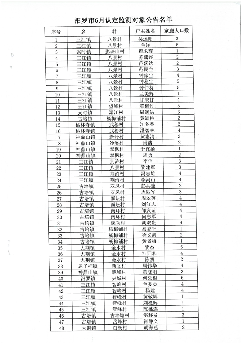
6月2日新增监测对象公示
来源:汨罗市扶贫开发办公室
日期:2022-06-02 17:05
浏览量:
1
|
|
|
|